電荷和質量都是物質的特性。電荷和質量之間的顯著區別在于電荷有一個分類。與此相反,質量沒有進一步的分類。電荷主要存在于正電荷和負電荷兩種類型,但質量永遠不可能是負的,它總是正的。
電荷是有助于發電的成分。相反,質量是導致引力的組成部分。
我們將討論可以區分電荷和質量的各種因素。
| 比較基礎 | 電荷 | 質量 |
| 基本 | 它產生電場 | 它產生引力場 |
| 分類 | 正面和負面 | 始終為正 |
| 表示為 | q | m |
| 自然界 | 量化 | 非量化 |
| 國際單位制 | 庫侖 | 克或千克 |
| 保護 | 存在 | 不存在 |
| 對速度的依賴性 | 獨立 | 依靠 |
一、電荷的定義:
電荷被定義為物質的一種屬性。它用q表示,分為兩類,即正和負。我們知道原子是構成物質的最小單個元素。此外,根據電荷的分類,我們可以將電荷定義為電子和質子。基本上,區分這兩種電荷的特性稱為電荷極性。
相同極性的電荷總是相互排斥,而不同極性的電荷總是表現出吸引力。有時我們會遇到“點電荷”這個詞,點電荷對應于這種帶電體,與電荷的分離距離相比,它們的尺寸非常小。
二、電荷的基本特性:
1.可加性:對于具有“n”個單獨費用的系統,系統的總費用將是系統內存在的每個單獨費用的總和。
2.守恒:系統內的總電荷是守恒性質的。這意味著它們可能會被重新分發,即可以從一個主體轉移到另一個主體,但不能被銷毀或創建。
3.量化:電荷始終以e的整數倍數形式存在。任何物體上的電荷都表示為:
q=ne
:e對應于電子或質子上的電荷。
三、質量的定義
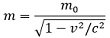
眾所周知,質量是物質的基本屬性。物體的質量是物體所組成的原子數量或密度的量度。此外,這種測量與物體存在的位置和施加的引力場無關。通常,質量被認為是物質的不變特性,但隨著速度的增加,運動物體的質量也會增加。物體的質量和移動速度之間的關系如下:

:m是運動物體的質量,
mo是靜止物體的質量,
c是光速3*108米/秒
物體的質量與粒子在物體內重新排列的方式無關。
有時人們會混淆質量和重量這兩個詞,并將兩者互換使用。但是,兩者是不同的,并且有多種因素可以區分質量和重量。
四、電荷和質量之間的主要區別:
1.電荷是一個物理量,可以是正數也可以是負數。正電荷稱為質子,而負電荷稱為電子。而質量是一個始終為正的物理量。
2.電荷表現出量子化的特性,而質量本質上是非量子化的。
3.沒有質量的電荷可能不存在,而質量也可以在沒有凈電荷的情況下存在。
4.當電荷轉移時,質量會發生微觀變化。然而,當質量被轉移時,它不會帶來電荷的變化。
5.物體上的電荷與物體移動的速度無關。這意味著電荷顯示出不變的性質。相反,物體的質量隨著物體移動速度的增加而增加。這可以通過以下關系來證明:

6.電荷是派生的物理量,而質量是基本物理量。
7.電荷之間存在的力可以是有吸引力的,也可以是排斥的,具體取決于電荷的極性。而在大質量物體之間只存在一種有吸引力的力。
8.電荷的測量單位是庫侖,而質量以克或千克為單位。
五、電荷與質量相似之處:
眾所周知,電荷和質量都是物質的特性。電荷和質量可以加為實數,兩者都有大小并且沒有方向,因此是標量。
結論:
質子和電子是兩種類型的電荷,讓我們看看質子和電子都持有什么電荷和質量。質子是正的,電荷大小為+1.6*10-19C和質量為1.67*10-27.而電子為負,電荷大小為-1.6*10-19C和質量為9.11*10-31這意味著電荷和質量的值不同。